ФотобусАвтобусный транспорт

Информация об изображении

364 КБ


Идентификатор изображения:2310023
Размер файла:364 КБ
Автор:Макс И
Опубликовано:26.10.2019 19:02 MSK
Находится на сайте, дней:2353
Уникальных просмотров:966
Комментариев:14

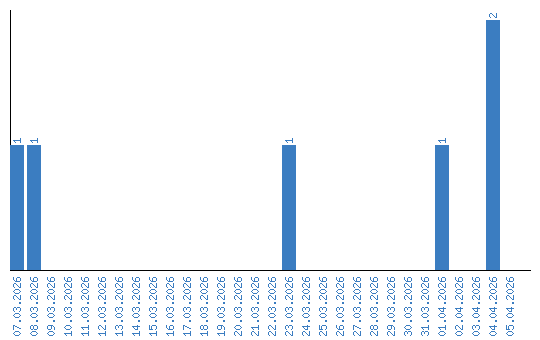
Динамика просмотров по датам