ФотобусАвтобусный транспорт

Информация об изображении

358 КБ


Идентификатор изображения:2306515
Размер файла:358 КБ
Автор:Denis_ua
Опубликовано:21.10.2019 00:03 MSK
Находится на сайте, дней:2360
Уникальных просмотров:374
Комментариев:0

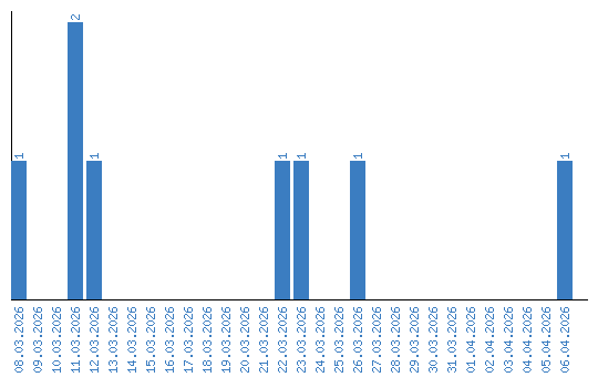
Динамика просмотров по датам