ФотобусАвтобусный транспорт

Информация об изображении

376 КБ


Идентификатор изображения:2305458
Размер файла:376 КБ
Автор:ками
Опубликовано:19.10.2019 22:52 MSK
Находится на сайте, дней:2334
Уникальных просмотров:200
Комментариев:0

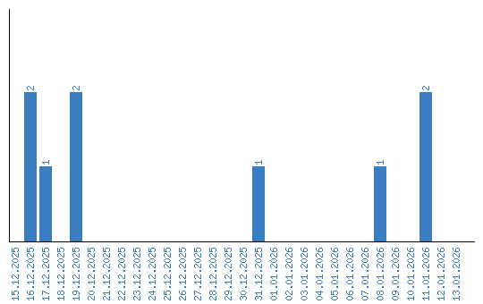
Динамика просмотров по датам