ФотабусАўтобусны транспарт

Iнфармацыя аб малюнку

483 КБ


Ідэнтыфікатар малюнка:2301443
Памер файла:483 КБ
Аўтар:Илья С.
Апублікавана:13.10.2019 20:14 MSK
Знаходзіцца на сайце, дзён:2344
Унікальных праглядаў:141
Каментарыяў:0

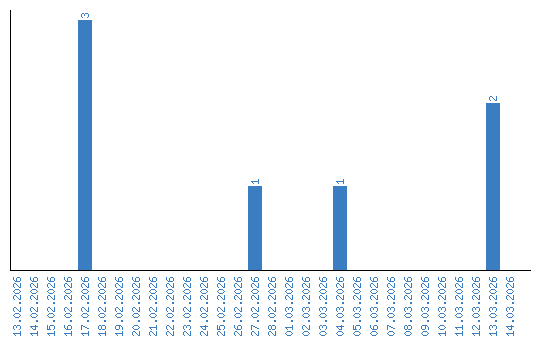
Дынаміка праглядаў па датах