FotobusAutobusų transportas

Nuotraukos informacija

438 KB


Nuotraukos identifikatorius:2300072
Bylos dydis:438 KB
Autorius:WGFS
Publikuota:11.10.2019 05:13 MSK
Yra tinklapyje dienų:2234
Unikalių peržiūrų:209
Komentarų:0

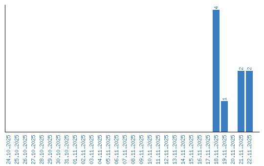
Peržiūrų dinamika pagal dienas