ФотобусАвтобустар галереясы

Информация об изображении

471 КБ


Идентификатор изображения:2296626
Размер файла:471 КБ
Автор:NP
Опубликовано:05.10.2019 20:56 MSK
Находится на сайте, дней:2365
Уникальных просмотров:531
Комментариев:0

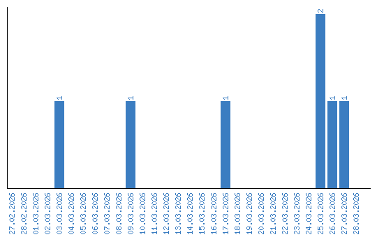
Динамика просмотров по датам