ФотобусАвтобусный транспорт

Информация об изображении

434 КБ


Идентификатор изображения:2296071
Размер файла:434 КБ
Автор:Евгений Александрович
Опубликовано:04.10.2019 23:38 MSK
Находится на сайте, дней:2224
Уникальных просмотров:273
Комментариев:0

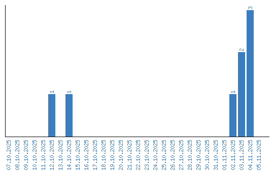
Динамика просмотров по датам