ФотобусАвтобусный транспорт

Информация об изображении

153 КБ


Идентификатор изображения:229465
Размер файла:153 КБ
Автор:Cерёга
Опубликовано:01.03.2010 13:01 MSK
Находится на сайте, дней:5770
Уникальных просмотров:367
Комментариев:0

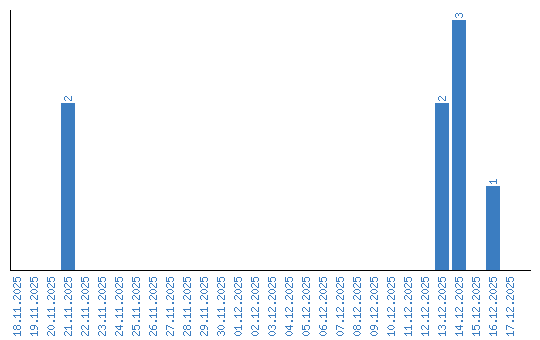
Динамика просмотров по датам