ФотобусАвтобусный транспорт

Информация об изображении

409 КБ


Идентификатор изображения:2288661
Размер файла:409 КБ
Автор:monochrome
Опубликовано:22.09.2019 18:35 MSK
Находится на сайте, дней:2306
Уникальных просмотров:281
Комментариев:0

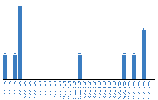
Динамика просмотров по датам