ФотобусАвтобусний транспорт

Статистика по зображенню

290 КБ


Ідентифікатор зображення:2279846
Розмір файлу:290 КБ
Автор:monochrome
Опубліковано:09.09.2019 13:31 MSK
Знаходиться на сайті, днів:2249
Унікальних переглядів:500
Коментарів:0

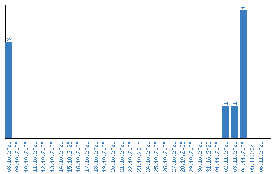
Динаміка переглядів за датами