ФотобусАвтобусный транспорт

Информация об изображении

431 КБ


Идентификатор изображения:2278891
Размер файла:431 КБ
Автор:Grenadier_Thomas
Опубликовано:07.09.2019 21:10 MSK
Находится на сайте, дней:2218
Уникальных просмотров:393
Комментариев:0

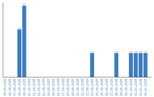
Динамика просмотров по датам