ФотобусАвтобусный транспорт

Информация об изображении

387 КБ


Идентификатор изображения:2278198
Размер файла:387 КБ
Автор:Grenadier_Thomas
Опубликовано:06.09.2019 18:04 MSK
Находится на сайте, дней:2381
Уникальных просмотров:781
Комментариев:0

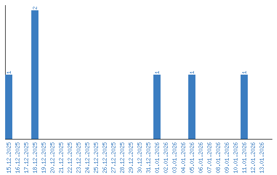
Динамика просмотров по датам