FotobusΜεταφορά με λεωφορείο

Picture Statistics

474 KB


Picture ID:2275909
File Size:474 KB
Συγγραφέας:Дмитрий Халимов
Publication Date:03.09.2019 03:29 MSK
Days in Database:2227
Unique views:278
Comments:0

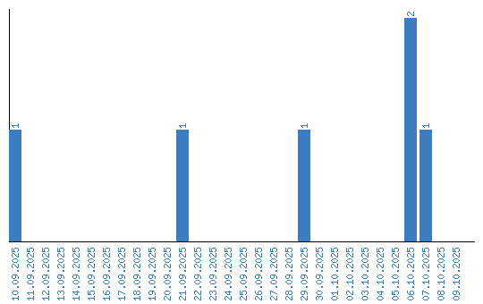
Viewing statistics by date