ФотабусАўтобусны транспарт

Iнфармацыя аб малюнку

322 КБ


Ідэнтыфікатар малюнка:2271390
Памер файла:322 КБ
Аўтар:Жоский
Апублікавана:28.08.2019 18:31 MSK
Знаходзіцца на сайце, дзён:2250
Унікальных праглядаў:234
Каментарыяў:0

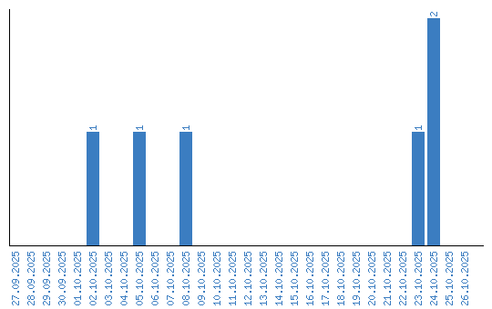
Дынаміка праглядаў па датах