ФотобусАвтобустар галереясы

Информация об изображении

365 КБ


Идентификатор изображения:2266795
Размер файла:365 КБ
Автор:kda1981
Опубликовано:22.08.2019 21:00 MSK
Находится на сайте, дней:2269
Уникальных просмотров:859
Комментариев:0

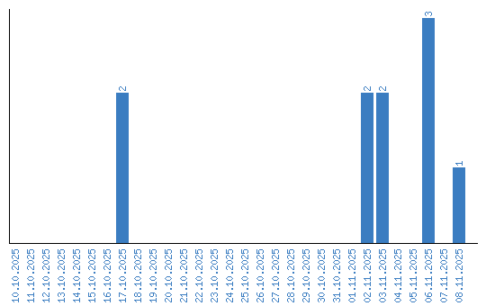
Динамика просмотров по датам