ФотобусАвтобусный транспорт

Информация об изображении

497 КБ


Идентификатор изображения:2265061
Размер файла:497 КБ
Автор:Илья С.
Опубликовано:20.08.2019 18:45 MSK
Находится на сайте, дней:2401
Уникальных просмотров:286
Комментариев:0

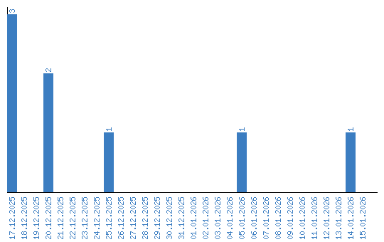
Динамика просмотров по датам