ФотобусАвтобусный транспорт

Информация об изображении

423 КБ


Идентификатор изображения:2264654
Размер файла:423 КБ
Автор:beffan
Опубликовано:19.08.2019 23:23 MSK
Находится на сайте, дней:2401
Уникальных просмотров:396
Комментариев:0

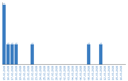
Динамика просмотров по датам