ФотобусАвтобусный транспорт

Информация об изображении

462 КБ


Идентификатор изображения:2251625
Размер файла:462 КБ
Автор:Valius Kedainietis
Опубликовано:02.08.2019 11:56 MSK
Находится на сайте, дней:2343
Уникальных просмотров:477
Комментариев:0

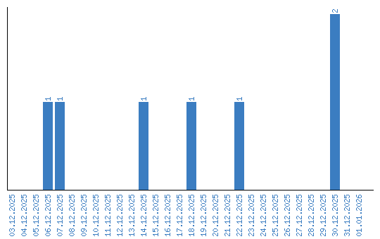
Динамика просмотров по датам