ФотобусАвтобусный транспорт

Информация об изображении

252 КБ


Идентификатор изображения:2242032
Размер файла:252 КБ
Автор:olegp
Опубликовано:20.07.2019 19:20 MSK
Находится на сайте, дней:2272
Уникальных просмотров:479
Комментариев:0

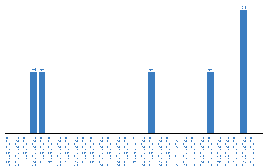
Динамика просмотров по датам