FotobusAutobusová doprava

Statistika obrázku

482 kB


Identifikátor obrázku:2238679
Velikost souboru:482 kB
Autor:Михаил Селивёрстов
Zveřejněno:15.07.2019 20:07 MSK
Nachází se na stránkách (dní):2422
Jednotlivých zhlédnutí:489
Komentářů:0

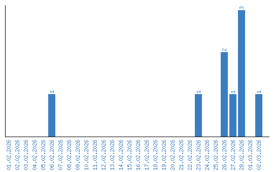
Zhlédnutí po jednotlivých dnech