ФотобусАвтобусный транспорт

Информация об изображении

298 КБ


Идентификатор изображения:2236152
Размер файла:298 КБ
Автор:Михаил М
Опубликовано:11.07.2019 16:37 MSK
Находится на сайте, дней:2414
Уникальных просмотров:310
Комментариев:0

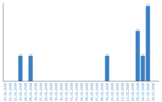
Динамика просмотров по датам