ФотобусАвтобусный транспорт

Информация об изображении

407 КБ


Идентификатор изображения:2230415
Размер файла:407 КБ
Автор:Michal Isakov
Опубликовано:03.07.2019 08:28 MSK
Находится на сайте, дней:2461
Уникальных просмотров:257
Комментариев:0

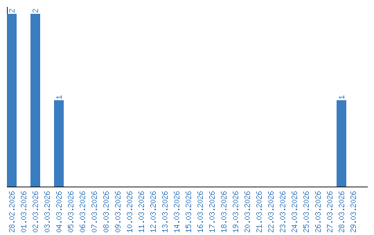
Динамика просмотров по датам