ФотобусАвтобусный транспорт

Информация об изображении

279 КБ


Идентификатор изображения:2219204
Размер файла:279 КБ
Автор:olegp
Опубликовано:16.06.2019 20:40 MSK
Находится на сайте, дней:2534
Уникальных просмотров:358
Комментариев:0

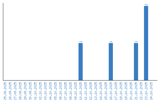
Динамика просмотров по датам