ФотабусАўтобусны транспарт

Iнфармацыя аб малюнку

387 КБ


Ідэнтыфікатар малюнка:2217740
Памер файла:387 КБ
Аўтар:beffan
Апублікавана:14.06.2019 23:01 MSK
Знаходзіцца на сайце, дзён:2479
Унікальных праглядаў:299
Каментарыяў:0

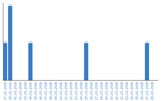
Дынаміка праглядаў па датах