ФотобусАвтобусный транспорт

Информация об изображении

417 КБ


Идентификатор изображения:2216716
Размер файла:417 КБ
Автор:urbanaut
Опубликовано:13.06.2019 19:00 MSK
Находится на сайте, дней:2456
Уникальных просмотров:427
Комментариев:0

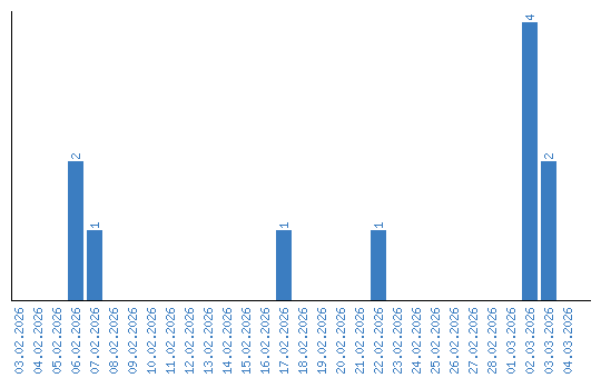
Динамика просмотров по датам