FotobusΜεταφορά με λεωφορείο

Picture Statistics

341 KB


Picture ID:2213741
File Size:341 KB
Συγγραφέας:stranger
Publication Date:09.06.2019 18:21 MSK
Days in Database:2381
Unique views:314
Comments:0

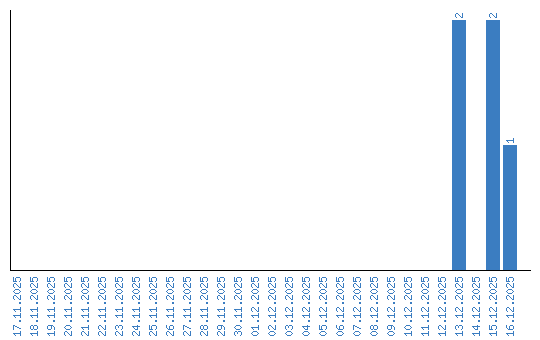
Viewing statistics by date