ФотобусАвтобусний транспорт

Статистика по зображенню

274 КБ


Ідентифікатор зображення:2209815
Розмір файлу:274 КБ
Автор:monochrome
Опубліковано:03.06.2019 04:58 MSK
Знаходиться на сайті, днів:2374
Унікальних переглядів:250
Коментарів:0

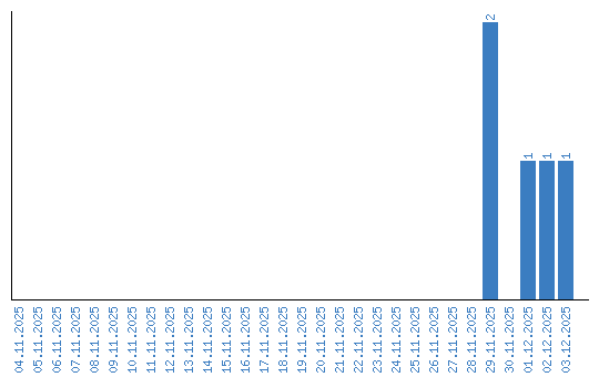
Динаміка переглядів за датами