ФотобусАвтобусный транспорт

Информация об изображении

202 КБ


Идентификатор изображения:220965
Размер файла:202 КБ
Автор:ALX
Опубликовано:11.02.2010 13:14 MSK
Находится на сайте, дней:5881
Уникальных просмотров:686
Комментариев:4

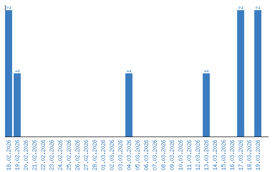
Динамика просмотров по датам