ФотобусАвтобусный транспорт

Информация об изображении

363 КБ


Идентификатор изображения:2207256
Размер файла:363 КБ
Автор:beffan
Опубликовано:31.05.2019 11:09 MSK
Находится на сайте, дней:2494
Уникальных просмотров:297
Комментариев:0

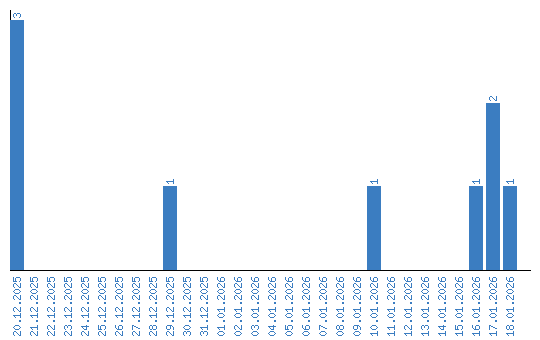
Динамика просмотров по датам