ФотобусАвтобусный транспорт

Информация об изображении

357 КБ


Идентификатор изображения:2204311
Размер файла:357 КБ
Автор:Кривич Илья
Опубликовано:27.05.2019 16:00 MSK
Находится на сайте, дней:2411
Уникальных просмотров:284
Комментариев:0

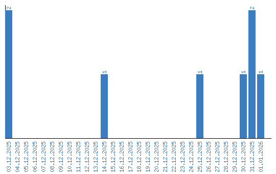
Динамика просмотров по датам