ФотобусАвтобусный транспорт

Информация об изображении

343 КБ


Идентификатор изображения:2197608
Размер файла:343 КБ
Автор:Денис Рогов
Опубликовано:18.05.2019 01:35 MSK
Находится на сайте, дней:2350
Уникальных просмотров:316
Комментариев:0

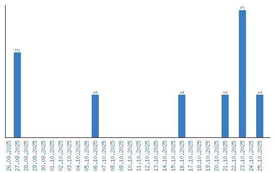
Динамика просмотров по датам