ФотобусАвтобусный транспорт

Информация об изображении

492 КБ


Идентификатор изображения:2194297
Размер файла:492 КБ
Автор:RT61
Опубликовано:13.05.2019 17:40 MSK
Находится на сайте, дней:2334
Уникальных просмотров:735
Комментариев:0

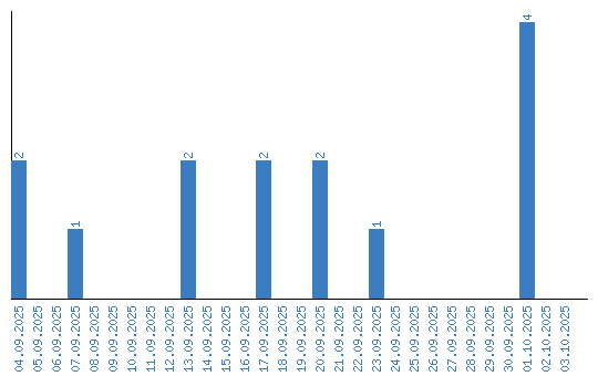
Динамика просмотров по датам