FotobusAutobusų transportas

Nuotraukos informacija

483 KB


Nuotraukos identifikatorius:2193902
Bylos dydis:483 KB
Autorius:Mr.Den
Publikuota:12.05.2019 20:20 MSK
Yra tinklapyje dienų:2405
Unikalių peržiūrų:343
Komentarų:0

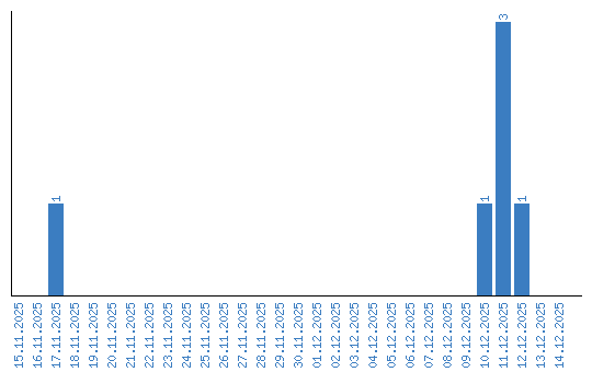
Peržiūrų dinamika pagal dienas