FotobusΜεταφορά με λεωφορείο

Picture Statistics

452 KB


Picture ID:2187941
File Size:452 KB
Συγγραφέας:Водитель Вездехода
Publication Date:05.05.2019 20:46 MSK
Days in Database:2415
Unique views:386
Comments:0

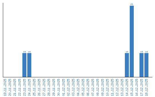
Viewing statistics by date