ФотобусАвтобусный транспорт

Информация об изображении

195 КБ


Идентификатор изображения:218409
Размер файла:195 КБ
Автор:Mettal
Опубликовано:06.02.2010 18:40 MSK
Находится на сайте, дней:5880
Уникальных просмотров:270
Комментариев:1

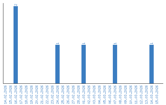
Динамика просмотров по датам