ФотобусАвтобусный транспорт

Информация об изображении

355 КБ


Идентификатор изображения:2183648
Размер файла:355 КБ
Автор:Lasselan
Опубликовано:01.05.2019 23:11 MSK
Находится на сайте, дней:2446
Уникальных просмотров:248
Комментариев:0

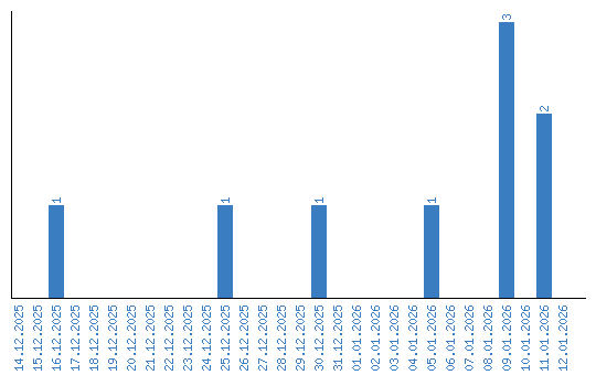
Динамика просмотров по датам