ФотабусАўтобусны транспарт

Iнфармацыя аб малюнку

299 КБ


Ідэнтыфікатар малюнка:2180747
Памер файла:299 КБ
Аўтар:Santehnik
Апублікавана:29.04.2019 09:40 MSK
Знаходзіцца на сайце, дзён:2360
Унікальных праглядаў:464
Каментарыяў:0

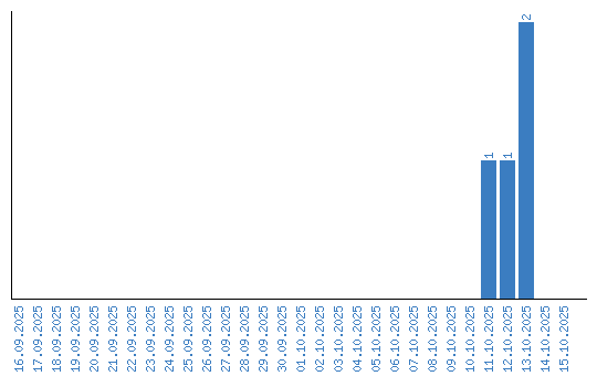
Дынаміка праглядаў па датах