ФотобусАвтобусный транспорт

Информация об изображении

372 КБ


Идентификатор изображения:2165833
Размер файла:372 КБ
Автор:266-60
Опубликовано:10.04.2019 19:00 MSK
Находится на сайте, дней:2516
Уникальных просмотров:318
Комментариев:0

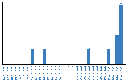
Динамика просмотров по датам