ФотобусАвтобусный транспорт

Информация об изображении

491 КБ


Идентификатор изображения:2161789
Размер файла:491 КБ
Автор:АндрейС
Опубликовано:04.04.2019 22:26 MSK
Находится на сайте, дней:2592
Уникальных просмотров:410
Комментариев:0

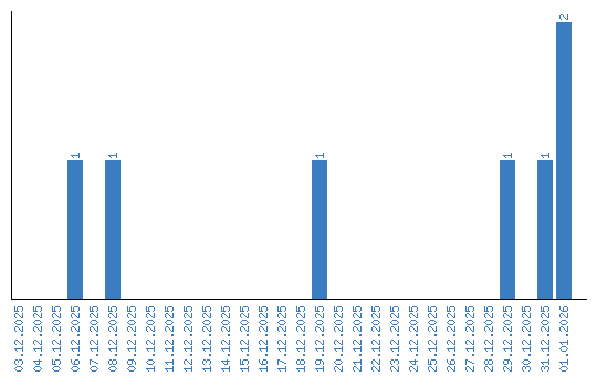
Динамика просмотров по датам