ФотобусАвтобусный транспорт

Информация об изображении

187 КБ


Идентификатор изображения:2146419
Размер файла:187 КБ
Автор:vlad05
Опубликовано:11.03.2019 16:26 MSK
Находится на сайте, дней:2568
Уникальных просмотров:534
Комментариев:0

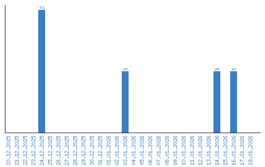
Динамика просмотров по датам