FotobusBusverkehr

Bildinformationen

498 KB


Foto-ID:2145904
Dateigröße:498 KB
Aufgenommen von:АндрейС
Veröffentlicht am:10.03.2019 21:47 MSK
Tage seit Veröffentlichung:2474
Aufrufe:285
Kommentare:0

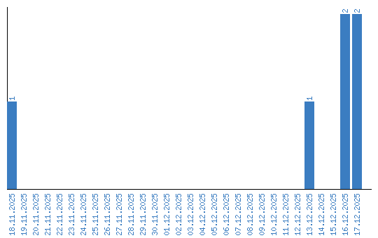
Aufrufestatistik (Tage)