ФотобусАвтобусный транспорт

Информация об изображении

419 КБ


Идентификатор изображения:2136965
Размер файла:419 КБ
Автор:beffan
Опубликовано:24.02.2019 14:22 MSK
Находится на сайте, дней:2596
Уникальных просмотров:458
Комментариев:0

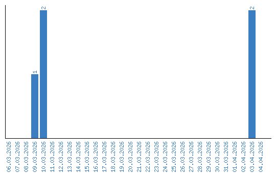
Динамика просмотров по датам