ФотобусАвтобустар галереясы

Информация об изображении

471 КБ


Идентификатор изображения:2133468
Размер файла:471 КБ
Автор:Valius Kedainietis
Опубликовано:17.02.2019 15:06 MSK
Находится на сайте, дней:2605
Уникальных просмотров:703
Комментариев:0

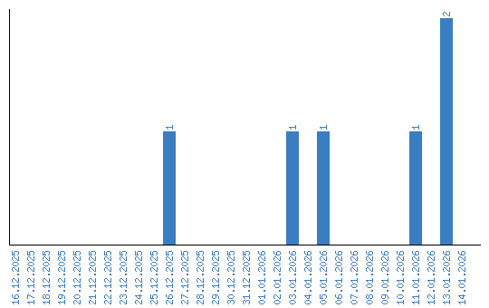
Динамика просмотров по датам