ФотобусАвтобусний транспорт

Статистика по зображенню

253 КБ


Ідентифікатор зображення:2126163
Розмір файлу:253 КБ
Автор:266-60
Опубліковано:03.02.2019 22:40 MSK
Знаходиться на сайті, днів:2478
Унікальних переглядів:343
Коментарів:0

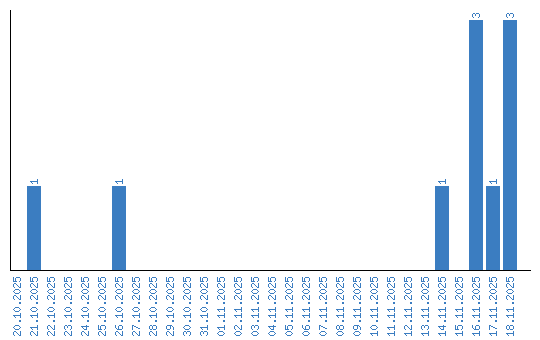
Динаміка переглядів за датами