FotobusΜεταφορά με λεωφορείο

Picture Statistics

223 KB


Picture ID:21216
File Size:223 KB
Συγγραφέας:HAV
Publication Date:28.04.2008 23:57 MSK
Days in Database:6400
Unique views:631
Comments:1

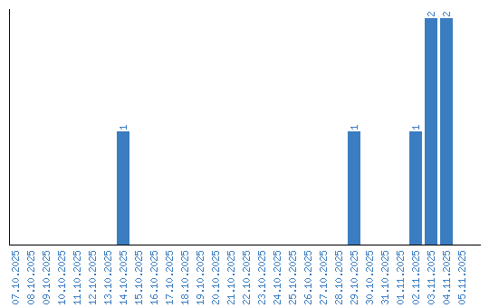
Viewing statistics by date