ФотобусАвтобусный транспорт

Информация об изображении

344 КБ


Идентификатор изображения:2118144
Размер файла:344 КБ
Прислал:VitalikTTL
Опубликовано:20.01.2019 12:54 MSK
Находится на сайте, дней:2554
Уникальных просмотров:433
Комментариев:0

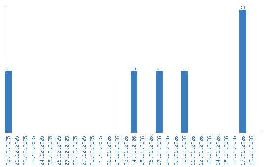
Динамика просмотров по датам