FotobusAutobusa transports

Informācija par attēli

337 KB


Attēla identifikātors:2116152
Faila lielums:337 KB
Autors:Евгений Мамыкин
Ir publicēts:16.01.2019 17:53 MSK
Atrodas vietnē, dienās:2471
Unikāli skatījumi:308
Komentārus:0

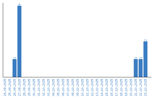
Dinamika skatišana pēc datuma