ФотобусАвтобусный транспорт

Информация об изображении

277 КБ


Идентификатор изображения:2115638
Размер файла:277 КБ
Автор:Grenadier_Thomas
Опубликовано:15.01.2019 17:36 MSK
Находится на сайте, дней:2587
Уникальных просмотров:380
Комментариев:0

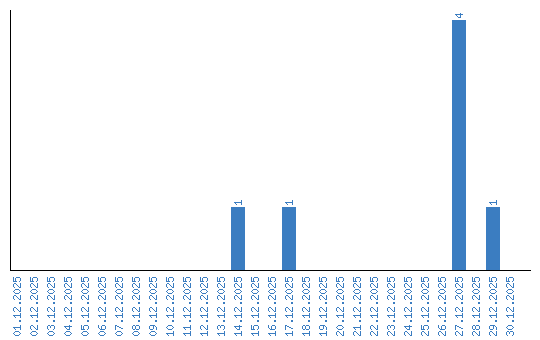
Динамика просмотров по датам