FotobusAutobusa transports

Informācija par attēli

473 KB


Attēla identifikātors:2112229
Faila lielums:473 KB
Autors:Yozhik_NN
Ir publicēts:09.01.2019 22:27 MSK
Atrodas vietnē, dienās:2504
Unikāli skatījumi:391
Komentārus:0

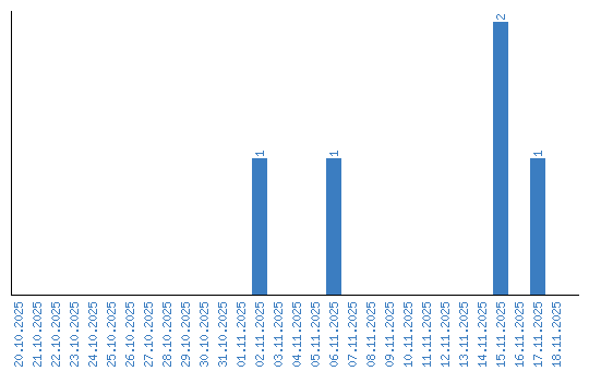
Dinamika skatišana pēc datuma