ФотобусАвтобусний транспорт

Статистика по зображенню

347 КБ


Ідентифікатор зображення:2100078
Розмір файлу:347 КБ
Автор:Станислав Богомолов
Опубліковано:21.12.2018 02:00 MSK
Знаходиться на сайті, днів:2586
Унікальних переглядів:433
Коментарів:0

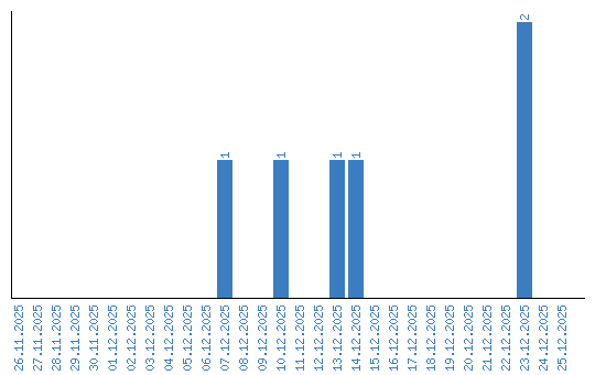
Динаміка переглядів за датами